Three Essays in Empirical Macroeconomics Public
Ginindza, Mzwandile (2013)
Abstract
This dissertation offers empirical analyses of three topics in macroeconomics. Firstly, it examines the short-run impact of common and idiosyncratic technology shocks on total hours worked in US Manufacturing. This is achieved via the use of industry factor-augmented structural vector autogressions (FASVAR). The findings suggest that hours worked increase in response to a common technology shock, yet they decline in response to idiosyncratic technology shocks. Secondly, the dissertation studies the dynamic impact of investment-specific technical changes on the skill composition of labor in US Manufacturing. Various structural VAR specifications, including one with long-run sign restrictions, are used to identify an investment-specific technology shock. The study finds that this shock tends to cause an initial increase in the demand for unskilled labor, which eventually declines after about 2 years. Essentially, after a short-term de-skilling effect, investment-specific technical changes become skill-biased in the long run. Lastly, the dissertation evaluates the effect of Inflation Targeting monetary policy on the inflation levels and inflation volatility in developed economies. This is achieved via the use of an Average Treatment Effects (ATE) approach, with a newly proposed matching tool, to control for selection bias among countries that adopted this policy. Since the ATE methodology normally studies effects at the mean, this analysis deploys non-parametric methods to extend the analysis to the entire distributions of inflation levels and volatility. The results suggest that Inflation Targeting helped its adopters in lowering inflation levels but not its volatility. The effect is shown to extend beyond the mean of inflation.
Table of Contents
Chapter 1
The Impact of Technology Shocks on Hours Worked at the Industry Level: An FASVAR
Approach
1.1 Introduction
1.2 A Closer Literature Review
1.3 General Framework
1.4 Empirical Implementation
1.4.1 Data
1.4.2 Estimation
1.4.3 Step One: Factor Identification
1.4.4 Step Two: SVAR Identification
1.5 Empirical Results
1.5.1 Level Specification of Hours
1.6 Discussion
1.6.1 The Role of Inventories: A Robustness Check
1.6.2 Output vs Input Inventories
1.7 Conclusion
2 Chapter 2
The Dynamic Effect of Investment Specific Technical Changes on Labor Composition in US Manufacturing
2.1 Introduction
2.2 Data
2.3 A Single-Technology Empirical Specification
2.3.1 Investment Specific Technology Shocks and Total Hours
2.3.2 Estimation
2.3.3 Labor Composition
2.3.4 Estimation 2
2.4 Multiple-technology Empirical Specification
2.4.1 Results
2.5 Testing for Capital-Skill Complementarity" Supply Side Test
2.5.1 Specification with Unskilled Labor
2.5.2 Demand Side Test: Specification with the Skill Premium
2.5.3 Discussion
2.6 Robustness Check: a skill-biased shock from the skill premium
2.6.1 Sign Restrictions
2.7 Conclusion
2.8 Appendix A: A partical equilirbium growth model
3 Chapter 3
Evaluating Inflation Targeting Based on the Distribution of Inflation and its Volatility (with Dr. E. Maasoumi)
3.1 Introduction
3.2 Methodology
3.2.1 Matching
3.2.2 Data and Empirical Analysis
3.2 Results
3.3.1 Inflation Level
3.3.2 Distribution of Estimated Average Treatment Effect on the Treated Under various Parameter Specification
3.3.3 A New Way of Evaluating Maatching
3.4 Multiple Period Differences-in-Differences
3.5 Effect of Inflation Targeting on Inflation Volatility
3.6 Entire Distribution Analysis
3.7 Optimum Values of Parameters
3.8 Entropy Distances
3.9 Conclusion
4 Bibliography
List of Figures
1 Graphs of Common Factors Extracted at Each Disaggregation Level
2 Two-digit level: IRFs of First-differenced Hours to a One Time Shock to F
3 Two-digit level: IRFs of First-differenced Hours to a One Time Shock to the Idiosyncratic Components
4 Two-digit level: IRFs of hours (levels) to One Time Technology Shock to F
5 Two-digit level: IRFs of hours (levels) to One Time Technology Shocks to the Idiosyncratic Components
6 Responses in a Single-Technology Model: an IST shock and Total Hours
7 Responses in a Single-Technology Model: Neutral Technology Shock and Total Hours
8 Labor Averages Across sectors
9 Responses in a Single-Technology Model: an IST shock and the Skill-ratio
10 Responsible in a Multiple-Technology Model
11 Specification with Unskilled Labor
12 Specification with the Skill Premium
13 Specification with sign restrictions
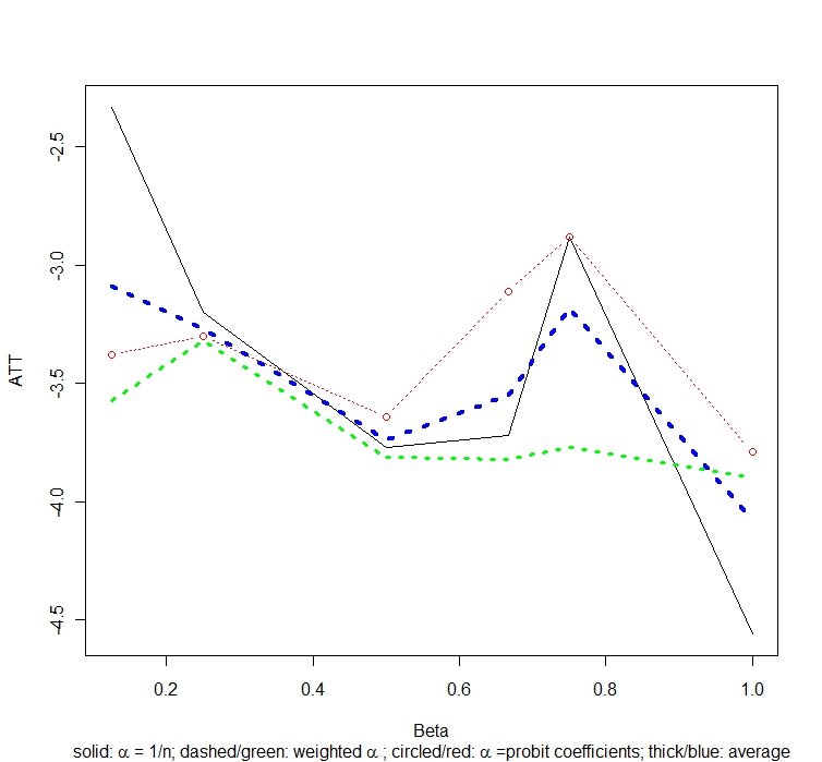
14 Graphical Displays of the Estimated Average Treatment Effect on the Treated Across Positive Beta Values
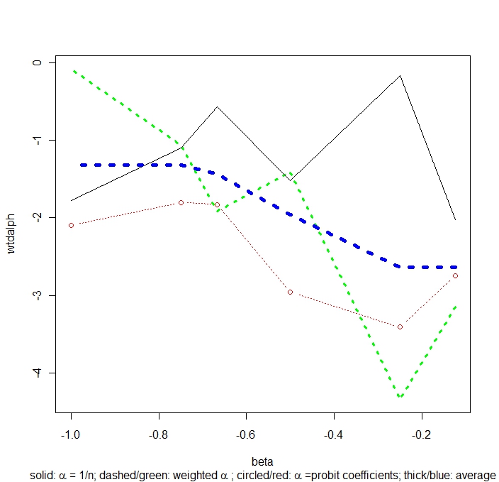
15 Graphical Displays of the Estimated Average Treatment Effect on the Treated Across Positive Beta Values
16 Distributions of Hyperbolicmeans and Propensity Scores for Matched Pairs
17 PDFs and CDFs of Inflation for Inflation for Targeters (solid) and Non-Targeters (dashed) for the Period 1980-2007
18 PDFs and CDFs of Inflation Variability for Targeters (solid) and Non-Targeters (dashed) for the period 1980-2007
List of Tables
1 Contemporaneous Responses of Production Hours to a Labor Productivity Shock
2 Impulse Responses of Hours to a Commone Factor Shock (as a % of total sectors in each disaggregation level)
3 Impulse Responses of Hours to an F Shock in Percentages (Level Specification)
4 Hours' Response to a Common Factor Shock in Percentages (Tri-variate SVAR Results)
5 List of 2-digit Sectors Classified Under SIC
6 List of 3-digit Sectors Classified Under SIC
7 Summary Statistics
8 Estimated Average Treatment Effect on the Treated Across Different alpha and (beta>0) Values
9 Estimated Average Treatment Effect on the Treated Across Different alpha and (beta<0) Values
10 Entropies Between Distributions of Hyperbolic Means (and Propensity Scores) for the Matched Targeter/Non-Targeter Pairs
11 Multiple Differences-in-Differences Estimates
12 Treatment Effect Conefficiants on Inflation Variability Across Different alpha and Beta>0 Values
13 Average Effect of Targeting on Inflation with "Best" Parameters
14 Entropy Distance (Sp) Between Inflation Distributions Distributions for Targeters and Non-Trageters
15 Entropy Measures (Sp) Between Inflation Distribution Across Time for Targeters
16 Entropy Measures (Sp) Between Inflation Distribution Across Time for Non-Targeters
About this Dissertation
| School | |
|---|---|
| Department | |
| Degree | |
| Submission | |
| Language |
|
| Research Field | |
| Mot-clé | |
| Committee Chair / Thesis Advisor | |
| Committee Members |
Primary PDF
| Thumbnail | Title | Date Uploaded | Actions |
|---|---|---|---|
|
|
Three Essays in Empirical Macroeconomics () | 2018-08-28 13:05:46 -0400 |
|
Supplemental Files
| Thumbnail | Title | Date Uploaded | Actions |
|---|---|---|---|
|
|
difIdio2.pdf () | 2018-08-28 13:14:03 -0400 |
|
|
|
factors.pdf () | 2018-08-28 13:15:34 -0400 |
|
|
|
qnyu.pdf () | 2018-08-28 13:18:30 -0400 |
|
|
|
qnsu.pdf () | 2018-08-28 13:20:53 -0400 |
|
|
|
posbeta1.jpeg () | 2018-08-28 13:22:04 -0400 |
|
|
|
lvlsF2.pdf () | 2018-08-28 13:24:03 -0400 |
|
|
|
QH.pdf () | 2018-08-28 13:25:36 -0400 |
|
|
|
wtdalphas.jpeg () | 2018-08-28 13:26:34 -0400 |
|
|
|
dF2.pdf () | 2018-08-28 13:27:39 -0400 |
|
|
|
YH.pdf () | 2018-08-28 13:30:13 -0400 |
|
|
|
qnsps.pdf () | 2018-08-28 13:31:47 -0400 |
|
|
|
negbeta1.jpeg () | 2018-08-28 13:33:23 -0400 |
|
|
|
probcof.jpeg () | 2018-08-28 13:34:47 -0400 |
|
|
|
Yldecomp.pdf () | 2018-08-28 13:36:18 -0400 |
|
|
|
qny.pdf () | 2018-08-28 13:37:48 -0400 |
|
|
|
consalp.jpeg () | 2018-08-28 13:38:47 -0400 |
|
|
|
ps.jpeg () | 2018-08-28 13:40:22 -0400 |
|
|
|
lvlsIdio2.pdf () | 2018-08-28 13:41:53 -0400 |
|
|
|
YtH.pdf () | 2018-08-28 13:43:18 -0400 |
|
|
|
qns_3only.pdf () | 2018-08-28 13:44:42 -0400 |
|